
Típicamente interesa resolver los siguientes problemas:
En la estadística bayesiana, \(x\) es \(\theta\), el parámetro desconocido de alguna distribución de probabilidad y \(p(x)\) es el posterior.
Para el primer problema, sabemos que si \(X_i \sim p(x)\), bajo ciertas condiciones podemos aproximar
\[\mathbb{E}[X] \approx \frac{1}{N} \sum_{i=1}^N x_i\]
Si \(X\) es una variable aleatoria, entonces para funciones continuas \(\phi\) tenemos que \(\phi(X)\) también es una variable aleatoria y por lo tanto
\[\mathbb{E}[\phi(X)] = \int\phi(x)p(x)dx \approx \frac{1}{N} \sum_{i=1}^N \phi(x_i)\]
Es decir, si los \(x_i\) son muestras de \(p(x)\), entonces la integral \(\int\phi(x)p(x)dx\) puede aproximarse por \(\frac{1}{N} \sum_{i=1}^N \phi(x_i)\).
Esto ya lo hemos hecho
Teniendo muestras de \(p(x)\) es fácil estimar las integrales \(\mathbb{E}[\phi(x)] = \int \phi(x) p(x) d x\) por lo que nos centraremos en el problema de cómo obtener muestras de \(p(x)\).
Para algunas distribuciones de probabilidad es fácil obtener muestras. Pero no siempre existe una función rbinom, rbeta, rnorm, rpois, etc.
Tomar muestras de una distribución de probabilidad \(p(x)\) implica obtener valores que provienen, con mayor frecuencia, de regiones donde \(p(x)\) es grande.
¿Por qué es difícil tomar muestras de una distribución de probabilidad?
En estadística bayesiana tenemos \(p(\theta \mid y ) \propto p(y\mid\theta) p(\theta)\) por lo que en general llegamos a \(p^*(\theta \mid y) = Z\ p(\theta\mid y)\)
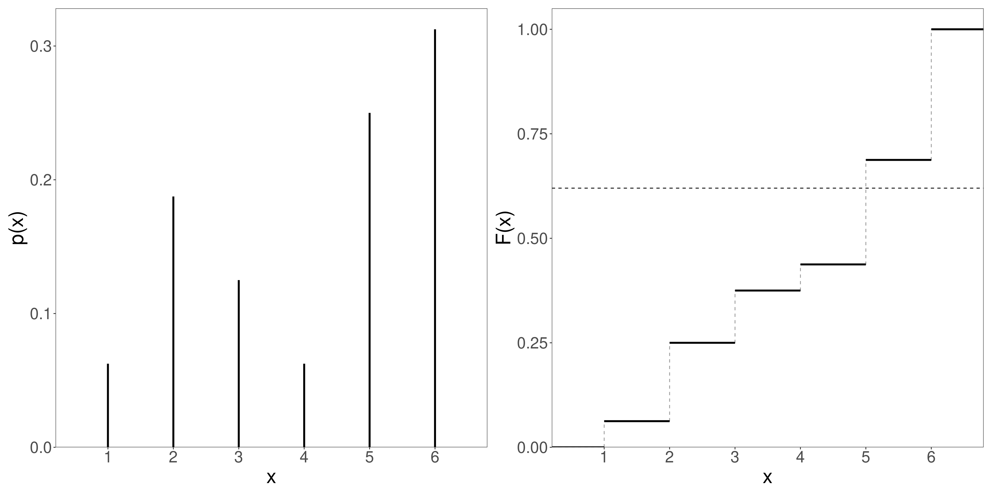
¿Cómo tomamos muestras de una distribución discreta?
Una solución puede ser discretizar la variable. Esta solución vale incluso si no conocemos \(Z\). Conocemos \(p^*(x) = Z \ p(x)\) (izquierda) y pasamos a una discreta \(\tilde{p}^*(x) = \tilde{Z}\ \tilde{p}(x)\) (centro).
Evaluando \(\tilde{p}^*\) en todos los posibles \(x_i\) de la grilla podemos calcular \(\tilde{Z}=\sum_{i} \tilde{p}^*(x_i)\). Luego tomamos muestras de \(\tilde{p}(x)\) (derecha).

En código:
¿Cómo se aplica esto en estadística bayesiana?
El posterior es \(\frac{1}{Z} p(y\mid \theta) p(\theta)\). Sabemos calcular el valor del posterior (sin normalizar) para cualquier valor de \(\theta\): haciendo el producto del prior por el likelihood.
Podemos considerar una grilla de valores del parámetro (o los parámetros), computar el posterior sin normalizar para cada valor de la grilla, normalizarlo y tomar muestras de él.
Pero, escala muy mal con el número de parámetros…
Queremos realizar inferencias sobre la media y la varianza de una normal. Para eso proponemos el siguiente modelo: \[ \begin{aligned} y_i\mid\mu,\sigma^2 & \sim \mathcal{N}(\mu,\sigma^2) \\ \mu,\sigma^2 & \sim \frac{1}{K} \frac{e^{-\sigma^2}}{\eta} e^{-\frac{(\mu - \xi)^2}{2\psi^2}} \end{aligned} \] (¿Cuáles son las constantes que ajustan el prior?)

Se basa en buscar una distribución de probabilidad candidata \(q(x)\) tal que \(Cq(x)\geq p^*(x)\). Se toma una muestra de \(q(x)\). Luego se toma una muestra \(u\) de \(\mathrm{Unif}(0,Cq(x))\). La muestra de \(q(x)\) se retiene si \(u<p^*(x)\).
Necesitamos elegir con cuidado \(q(x)\)
Queremos obtener muestras de \(p(x)\). Vamos a hacer un viaje por los distintos valores de \(x\) tratando de pasar más tiempo (más iteraciones) en los puntos donde \(p(x)\) es grande.
Idea general:
El algoritmo de Metropolis–Hastings (1953)
\(q(\theta'\mid\theta)\) se llama distribución de proposición o de salto propuesto. Todo lo que necesitamos saber es dónde estamos \(f(\theta)\) y hacia donde queremos ir \(f(\theta')\).
Puede probarse que para cualquier \(q(\theta'\mid\theta)\), cuando \(s\to \infty\) la distribución de probabilidad de la secuencia \(\left\{\theta^{(s)} \right\}_{s=1}^S\) tiende a \(f(\theta)\). No sabemos nada sobre la rapidez con la que lo hace.
En infinitos pasos, cualquier cadena dará muestras de la distribución \(f(\theta)\), en la práctica hay que tener algunos cuidados.





Notar que la probabilidad de transicionar de \(\theta\) a \(\theta'\) es \(t(\theta'\mid\theta) = q(\theta'\mid\theta) \alpha_{\theta \rightarrow \theta'}\) (la probabilidad de proponer el salto a ese \(\theta'\) y de aceptarla)
En realidad, una de las condiciones necesarias para que la secuencia de muestras tienda a la distribución buscada \(f(\theta)\) es que el salto sea reversible: es decir, que la probabilidad de estar en \(\theta\) y transicionar a \(\theta'\) tiene que ser igual que la de estar en \(\theta'\) y transicionar a \(\theta\): \(f(\theta)t(\theta'\mid\theta) = f(\theta')t(\theta\mid\theta')\).
Si la distribución propuesta \(q\) es simétrica, esto está resuelto. ¿Se puede elegir una \(q\) que no sea simétrica? ¿Qué es lo que nos define la probabilidad de pasar de \(\theta\) a \(\theta'\) (y viceversa)?
Tenemos que ajustar la probabilidad de transición:
\[\alpha = \min\left\{ 1,\frac{f(\theta')}{f(\theta)} \frac{q(\theta \mid \theta')}{q(\theta' \mid \theta)} \right\}\]
Para el caso de \(q\) simétrica:
theta <- double()
theta[1] <- -1
i <- 1
propuesta <- rnorm(1, mean = theta[i], sd = 0.8)
f_actual <- fx(theta[i])
f_propuesta <- fx(propuesta)
alpha <- min(c(1,f_propuesta/f_actual))
quehacemos <- sample(c("salto","no salto"),
size = 1,
prob = c(alpha,1-alpha))
if(quehacemos=="salto") {
theta[i+1] <- propuesta
} else {
theta[i+1] <- theta[i]
}Debe repetirse el proceso en un for
\[\sigma = 0.8\]
\[\sigma = 0.1\]
\[\sigma = 0.6\]
\[\sigma = 4.8\]
¿Qué esperamos de nuestra cadena?
Ningún objetivo se alcanza absolutamente, existen chequeos gráficos y numéricos para saber si las cadenas de MCMC están sanas.
Graficar los valores que toma el algoritmo como función del tiempo (lo que típicamente llamamos la cadena). Se tiene que ver como un fuzzy caterpillar (buen mixing). Para los impresionables: ruido blanco sin ningún patrón particular.
Las muestras tienen que ser independientes. La dependencia de valores anteriores tiene que desaparecer rápido . Podemos medirlo con la autocorrelación.
Para cada valor de lag \(k\) se calcula la correlación de la serie consigo misma originando la función de autocorrelación (\(ACF(k)\))


Las muestras no son independientes. ¿A cuántas muestras independientes equivalen nuestras \(S\) muestras? \(N_{eff}\) es el número de muestras independientes que tienen el mismo poder de estimación que \(S\) muestras correlacionadas (el error de estimación es proporcional a \(\frac{1}{\sqrt{N_{eff}}}\))
\[N_{eff} = \frac{S}{1 + 2 \sum_{k=1}^\infty ACF(k)}\]
El estadístico de Rubin–Gelman \(\hat{R}\) es un indicador de convergencia. Si múltiples cadenas se establizaron en un muestreo representativo del posterior, la diferencia promedio entre cadenas debe ser similar a la diferencia promedio en la cadena.
\[\hat{R} = \sqrt{\frac{\frac{S-1}{S} W + \frac{1}{S} B}{W}}\]
El valor 1 indica convergencia. Si una cadena se perdió/divergió, el \(\hat{R}\) será mucho mayor a 1.
Si tenemos \(M\) cadenas, \(\theta_m\), cada una de las cuales tiene \(S\) muestras \(\theta_m^{(s)}\). La varianza entre cadenas (\(B\)) es:
\[B = \frac{S}{M-1} \sum_{m=1}^M (\bar{\theta}^{(\bullet)}_{m} - \bar{\theta}^{(\bullet)}_{\bullet})^2\]
\[\bar{\theta}_m^{(\bullet)} = \frac{1}{S} \sum_{s = 1}^S \theta_m^{(s)}\]
\[\bar{\theta}^{(\bullet)}_{\bullet} = \frac{1}{M} \, \sum_{m=1}^M \bar{\theta}_m^{(\bullet)}\]
La varianza intra cadena (\(W\)) es:
\[W = \frac{1}{M} \, \sum_{m=1}^M s_m^2\]
\[ s_m^2 = \frac{1}{S-1} \, \sum_{s=1}^S (\theta^{(s)}_m - \bar{\theta}^{(\bullet)}_m)^2\]
El estimador de la varianza total
\[\widehat{\mbox{var}}^{+}\!(\theta|y) = \frac{N-1}{N}\, W \, + \, \frac{1}{N} \, B\]
\[\hat{R} \, = \, \sqrt{\frac{\widehat{\mbox{var}}^{+}\!(\theta|y)}{W}}\]
Cómo calcular la trayectoria del trineo es una de las cuestiones claves del algoritmo. Planteamos la conservación de la energía:
\[\mathcal{H}(\theta,v) = U(\theta) + K(v)\]
\(\mathcal{H}\) se conoce como hamiltoniano y representa la energía total del sistema que es la suma de la energía potencial \(U(\theta)\) (función de la posición \(\theta\)) y la energía cinética \(K(v)\) (función de la velocidad \(v\)).
Se toma \(U(\theta) = -\log[p^*(\theta\mid y)]\) y \(K(v) = \frac{1}{2} m v^2\)
Las ecuaciones de Hamilton describen el cambio de \(\theta\) y de \(v\) en función del tiempo
\[\frac{d\theta}{dt} = \frac{\partial \mathcal{H}}{\partial v}\] \[\frac{dv}{dt} = -\frac{\partial \mathcal{H}}{\partial \theta}\]
Es necesario resolver estas ecuaciones… Queremos hallar la posición (\(\theta\)) del trineo tras un tiempo. No se pueden resolver analíticamente. Discretizamos el tiempo estudiando \(L\) pequeños intervalitos de duración \(\varepsilon\)
Se tiene: \[ \small{ \begin{aligned} \frac{dv}{dt} &\approx \frac{v_{t+\varepsilon} - v_{t}}{\varepsilon} = \frac{v_{t_2} - v_{t_1}}{\varepsilon} \\ \frac{d\theta}{dt} &\approx \frac{\theta_{t+\varepsilon} - \theta_{t}}{\varepsilon} = \frac{\theta_{t_2} - \theta_{t_1}}{\varepsilon} \end{aligned} } \]
con lo cual: \[ \small{ \begin{aligned} v_{t_2} &= v_{t_1} + \varepsilon \frac{dv}{dt} = v_{t_1}-\varepsilon \frac{\partial \mathcal{H}}{\partial \theta} \\ \theta_{t_2} &= \theta_{t_1} + \varepsilon \frac{d\theta}{dt} = \theta_{t_1} + \varepsilon \frac{\partial \mathcal{H}}{\partial v} \end{aligned} } \]
Estas aproximaciones no son buenas…
Se parte de \(t\) y se busca \(v\) en \(t+\frac{\varepsilon}{2}\). Luego se busca \(\theta\) en \(t+\varepsilon\) usando el resultado anterior \(v\) en \(\frac{\varepsilon}{2}\).
\[v(t+\frac{\varepsilon}{2}) = v(t) - \frac{\varepsilon}{2} \frac{\partial \mathcal{H}}{\partial \theta}\rvert_t\]
\[\theta(t+\varepsilon) = \theta(t) + \varepsilon \frac{\partial \mathcal{H}}{\partial v}\rvert_{t+\frac{\varepsilon}{2}}\]
\[v(t+\varepsilon) = v(t+\frac{\varepsilon}{2}) - \frac{\varepsilon}{2} \frac{\partial \mathcal{H}}{\partial \theta}\rvert_{t+\varepsilon}\]
La elección de \(\varepsilon\) es clave para el algoritmo. Si \(L\cdot\varepsilon\) es pequeño, tomará mucho tiempo explorar el posterior. Con un valor muy grande, ocurrirán giros en U.
Un \(\varepsilon\) pequeño da más resolución sobre la trayectoria, permitiendo que la bolita gire ángulos pronunciados (¿pero?).
Un \(\varepsilon\) grande hará que los saltos sean largos y podemos saltear el punto donde la partícula iba a girar (divergent transition).

Estadística Bayesiana – 2025